இலங்கையில் சுகாதார அமைச்சு, மென்பான உற்பத்திகளுக்கு அவற்றில் அடங்கியுள்ள சீனி மட்டத்தை அடிப்படையாகக் கொண்டு நிறக் குறியீட்டுத் தொகுதியொன்றை அறிமுகஞ் செய்துள்ளது. அதற்காகப் பயன்படுத்தப்படும் மூன்று நிறங்களும் எவை?
‘சித்திரை மாதச் சத்தியப் பிரமாணம்’ எனும் தேசிய சத்தியப் பிரமாணம் இலங்கை ஜனாதிபதியால் 2019 ஏப்ரல் 3 ஆம் திகதி வைபவ ரீதியாக ஆரம்பிக்கப்பட்டது. இந்த சத்தியப் பிரமாணத்தின் நோக்கம் யாது?
ஐக்கிய நாடுகளின் பேண்தகு அபிவிருத்தி தீர்வு வலையமைப்பின் மூலம் 156 நாடுகளைச் சேர்ந்த மக்கள், அவர்களால் உணரப்படும் வகையில் எந்த அளவு மகிழ்ச்சியுடன் இருக்கின்றனர் எனும் ஆய்வு நடத்தப்பட்ட பின்னர், உலகின் மகிழ்ச்சி தொடர்பான அறிக்கை முன்வைக்கப்பட்டது. உலகில் மகிழ்ச்சிமிக்க நாடுகள் தொடர்பான ஐக்கிய நாடுகளின் 2019 ஆம் ஆண்டுக்குரிய பட்டியலில் முதலிடத்தைப் பெற்றுள்ள நாடு எது?
1787 இல் இங்கிலாந்து, லண்டன் நகரில் தாபிக்கப்பட்ட கிரிக்கட் விளையாட்டு தொடர்பான பண்டைய கட்டுப்பாட்டு சபையாகிய முன்னர் நடைமுறையிலிருந்த மாலிபோன் கிரிக்கட் சங்கத்தினால் (ஆஊஊ) முதன்முதலாக பிரித்தானியரல்லாத ஒரு தலைவர் 2019 ஒக்டோபர் 01 ஆம் திகதி முதல் ஒரு வருட காலத்துக்காக நியமிக்கப்பட்டிருந்தார். அவ்வாறு நியமிக்கப்பட்டவர் யார்?
ஐந்து மாதங்களுக்கும் குறைவான காலத்துள் நிகழ்ந்த கோரமான இரண்டு விமான விபத்துக்களுக்கிடையே காணப்பட்ட ஒற்றுமைகள் மூலம் வெளிப்படுத்தப்பட்ட சாட்சியங்களைக் காரணமாகக் கொண்டு 2019 மார்ச் மாதமளவில் 50 இற்கும் மேற்பட்ட நாடுகள் ஒரு குறித்த வகை போயிங் (Boeing) விமானங்களைப் பயன்பாட்டில் இருந்து நீக்கின. அவ்விமான வகை எது?
2018 ஆம் ஆண்டு இலங்கைத் தேயிலையை மிகக் கூடுதலான அளவில் கொள்வனவு செய்த நாடு எது?
பொது மக்களுக்கு தகவல்கள் வழங்குவதற்காகவும் அரச நிறுவனங்களிலிருந்து சேவைகளைப் பெறுவது எவ்வாறு என வழிகாட்டுவதற்காகவும் அரச தகவல் மையத்தில் மும்மொழி மூல அழைப்பு நிலைய வசதிகள் செய்யப்பட்டுள்ளன. இச்சேவையைப் பெறுபவர்கள் அழைப்பதற்குரிய கட்டணமின்றிய தொலைபேசி இலக்கம் யாது?
சந்தையில் உள்ள இறக்குமதி செய்யப்பட்ட சில பால்மா வகைகளில் பின்வரும் எந்த குறித்த இரசாயனச் சேர்வை அடங்கியுள்ளதாக அண்மைக் காலத்தில் சர்ச்சை ஏற்பட்டது. அவ் இரசாயனச் சேர்வை,
2022 இல் சீனாவில் ஹன்ஷொன் நகரில் நடைபெறவுள்ள ஆசிய விளையாட்டு விழாவின் விளையாட்டு நிகழ்ச்சி நிரலில், பின்வரும் எந்த விளையாட்டை மீள அறிமுகஞ் செய்வதென ஆசிய ஒலிம்பிக் சபை தீர்மானித்துள்ளது?
ராஜன் 4.5% வருடாந்த எளிய வட்டி வீதத்தில் ரூபா. 3240 இனை முதலீடு செய்தார். வட்டியாக ரூ. 729 ராஜாவுக்கு கிடைப்பதற்கு எவ்வளவு காலம் எடுக்கும்?
x,y என்னும் எவையேனும் இரு எண்கள் மீது கணிதச் செய்கை ⊕ ஆனது x ⊕ y = x(x + y)- y என
வரையறுக்கப்படுகின்றது. (1 ⊕ 2) – (2 ⊕ 1) இன் பெறுமானம் யாது?
பயன்படுத்திய மோட்டார் வாகனமொன்றை ரூபா 3.2 மில்லியனுக்கு வாங்கிய மோட்டார் வாகன கராஜ் உரிமையாளர் ஒருவர் ரூபா 800 000 செலவு செய்து அதனைப் பழுதுபார்த்து ரூபா 4.8 மில்லியனுக்கு விற்றார். அவர் பெற்ற இலாபச் சதவீதம் யாது?
ஒரு மாணவன் கணித பாடச் சோதனையொன்றில் 45 புள்ளிகள் பெற்றான். எனினும் அது புள்ளிப் பட்டியலில் 75 எனத் தவறாகப் பதிவு செய்யப்பட்டிருந்தது. அத்தவறை திருத்திய பின்னர் கணித பாடச் சோதனைக்காக வகுப்பின் சராசரிப் (இடை) புள்ளி 1.5 இனால் குறைவடைந்தது. அக்கணித பாடச் சோதனைக்கு தோற்றிய மாணவர் எண்ணிக்கை யாது?
அமலன் 15 km ஓட்டப்போட்டியை ஓடி முடிப்பதற்கு பொதுவாக பாலனைவிட ½ மணி நேரம் கூடுதலாக எடுப்பான். அமலன் தனது கதியை இருமடங்காக்கினால் அப்போட்டியை ஓடி முடிப்பதற்கு பாலனை விட ½ மணி நேரம் குறைவாக எடுப்பான். அமலனின் சராரிக் கதி யாது?
1958 இல் பிறந்த திரு. சீலன் 2022 இல் அவரது புதல்வனாகிய நாதனை விட இரண்டு மடங்கு வயதுடையவராக இருப்பார். நாதனின் தற்போதைய வயது யாது?
செவ்வகமொன்றின் ஒவ்வொரு பக்கத்தினதும் நீளத்தை 40% இனால் அதிகரிக்கச் செய்தால் அச்செவ்வகத்தின் பரப்பளவு எத்தனை சதவீதத்தினால் அதிகரிக்கும்?
A, B, C என்போர் ஒரு கம்பனியில் 2 : 3 : 4 எனும் விகிதத்தில் சம்பளம் பெறும் மூன்று ஊழியர்கள் ஆவர். அவர்களுக்கு முறையே 20%, 20%, 30% சம்பள அதிகரிப்புக் கிடைக்குமாயின் அவர்களது சம்பளங்களுக்கிடையிலான புதிய விகிதம் யாது?
ஒரே மாறா வீதத்தில் தொழிற்படும் சர்வசமனான எட்டுப் பொறிகளினால் ஒரு நிமிடத்தில் 280 பொருட்களை உற்பத்தி செய்யலாம். அதே வீதத்தில் தொழிற்படுகின்ற அதே வகையைச் சேர்ந்த 15 பொறிகளால் 6 நிமிடத்தில் அவ்வகையான எத்தனை பொருட்களை உற்பத்தி செய்யலாம்?
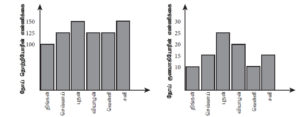
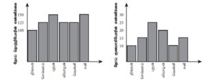
21, 22 ஆகிய வினாக்களுக்காக தெரிவுசெய்யப்பட்ட ஒரு பிரதேசத்தில் அடுத்தடுத்து வந்த ஆறு நாட்களில் ஒவ்வொரு நாளும் ஆட்கொல்லி நோயல்லாத வைரசுக் காய்ச்சல் தொற்றுக்கு ஆளாகிய, அந்நோயிலிருந்து குணமாகிய ஆட்களின் எண்ணிக்கைகளைக் காட்டும் பின்வரும் வரைபுகளைக் கவனத்திற் கொள்க.

அதிக எண்ணிக்கையானோர் வைரசு நோய்த் தொற்றுக்கு ஆளாகிய நாள் எது?
21, 22 ஆகிய வினாக்களுக்காக தெரிவுசெய்யப்பட்ட ஒரு பிரதேசத்தில் அடுத்தடுத்து வந்த ஆறு நாட்களில் ஒவ்வொரு நாளும் ஆட்கொல்லி நோயல்லாத வைரசுக் காய்ச்சல் தொற்றுக்கு ஆளாகிய, அந்நோயிலிருந்து குணமாகிய ஆட்களின் எண்ணிக்கைகளைக் காட்டும் பின்வரும் வரைபுகளைக் கவனத்திற் கொள்க.

திங்கள் தொடக்கம் வெள்ளி வரையில் 5 நாள் காலப்பகுதியில் நோய்த் தொற்றுக்கு ஆளானோரின் எண்ணிக்கை யாது?
23, 24 ஆகிய வினாக்களுக்கு மேலே செல்லத் தயாராகும் உயர்த்தியொன்றின் (lift) வாயிலில் இடம்பெற்ற பின்வரும் உரையாடலைக் கவனத்திற்கொள்க.
முதலாவது நபர் : இந்த உயர்த்தில் குறைந்தபட்சம் இன்னும் இரண்டு பேர் செல்ல முடியும்.
இரண்டாவது நபர் : உண்மையில் இதில் ஐந்து பேருக்கு அதிகமானோர் செல்ல முடியும்.
மூன்றாவது நபர் : இல்லையில்லை, ஏற்கனவே இது அளவுக்கதிகமாக நிரம்பியுள்ளது; இது மேலே
செல்ல வேண்டுமெனின் நான் இதிலிருந்து இறங்க வேண்டியேற்படும்.
நான்காவது நபர் : சரி, இந்த உயர்த்தியில் நாங்கள் நான்கு பேர் மாத்திரம் தானே இருக்கின்றோம்.
இந்த உரையாடலில் மூன்று பேர் மாத்திரம் உண்மை பேசுவார்களாயின், இந்த உயர்த்தியின் கொள்ளளவு பின்வருவனவற்றுள் எதுவாக இருக்க வேண்டும்?
23, 24 ஆகிய வினாக்களுக்கு மேலே செல்லத் தயாராகும் உயர்த்தியொன்றின் (lift) வாயிலில் இடம்பெற்ற பின்வரும் உரையாடலைக் கவனத்திற்கொள்க.
முதலாவது நபர் : இந்த உயர்த்தில் குறைந்தபட்சம் இன்னும் இரண்டு பேர் செல்ல முடியும்.
இரண்டாவது நபர் : உண்மையில் இதில் ஐந்து பேருக்கு அதிகமானோர் செல்ல முடியும்.
மூன்றாவது நபர் : இல்லையில்லை, ஏற்கனவே இது அளவுக்கதிகமாக நிரம்பியுள்ளது; இது மேலே
செல்ல வேண்டுமெனின் நான் இதிலிருந்து இறங்க வேண்டியேற்படும்.
நான்காவது நபர் : சரி, இந்த உயர்த்தியில் நாங்கள் நான்கு பேர் மாத்திரம் தானே இருக்கின்றோம்.
உயர்த்தியினுள் இரண்டு பேர் மாத்திரமே உள்ளவர்களாகவும் நால்வருள் ஒருவரைவிட அதிக எண்ணிக்கையானோர் உண்மை பேசுவார்களாகவும் இருப்பின் இந்த உயர்த்தியின் கொள்ளளவு எத்தனை பேராக இருக்க முடியும்?
25, 26 ஆகிய வினாக்கள் கீழே தரப்பட்டுள்ள தகவல்களை அடிப்படையாகக்
கொண்டவை.அம்பகாமம், தம்பகாமம் என்பன ஓர் ஆற்றினால் வேறாக்கப்பட்டுள்ள இரண்டு உப நகரங்களாகும். இந்த இரண்டு உப நகரங்களையும் இணைக்கும் பாதை 4 km நீளமானது. அதன் நடுவே பாலம் ஒன்று உள்ளது. இப்பாதையில், பாலத்தின் மீது 20 km h —¹ எனவும் பாலம் தவிர்ந்த ஏனைய இடங்களில் 60 km h —¹ எனவும் கதி எல்லைகள் விதிக்கப்பட்டுள்ளன.
வாகனமொன்று, மொத்தப் பயணத்தையும் ஒரே சீரான கதியில் செல்ல எதிர்பார்க்குமாயின், அது அம்பகாமத்திலிருந்து தம்பகாமம் வரை செல்வதற்கு எடுக்கும் ஆகக் குறைந்த நேரம் எவ்வளவு?
25, 26 ஆகிய வினாக்கள் கீழே தரப்பட்டுள்ள தகவல்களை அடிப்படையாகக் கொண்டவை.
அம்பகாமம், தம்பகாமம் என்பன ஓர் ஆற்றினால் வேறாக்கப்பட்டுள்ள இரண்டு உப நகரங்களாகும். இந்த இரண்டு உப நகரங்களையும் இணைக்கும் பாதை 4 km நீளமானது. அதன் நடுவே பாலம் ஒன்று உள்ளது. இப்பாதையில், பாலத்தின் மீது 20 km h−¹ எனவும் பாலம் தவிர்ந்த ஏனைய இடங்களில் 60 km h−¹ எனவும் கதி எல்லைகள் விதிக்கப்பட்டுள்ளன.
இரண்டு வாகனங்கள் மு.ப. 9.00 மணிக்கு அம்பகாமத்தைக் கடந்து பின்பு தம்பகாமத்தை அடைகின்றன. மு.ப. 9.05 இற்கு தம்பகாமத்தை அடைந்த வாகனம் கதி எல்லையை மீறியமையால் பொலிசாரால் நிறுத்தப்பட்டது. மு.ப. 9.06 மணிக்கு தம்பகாமத்தை அடைந்த மற்றைய வாகனம் அவ்வாறு நிறுத்தப்படவில்லை. பாலத்தின் நீளம் பின்வருவனவற்றுள் எதுவாக இருக்க முடியும்?

மேற்படி அவதானிப்பு – முடிபுச் சோடி உண்மையானது என தரப்பட்டுள்ளதாயின், அப்போது பின்வரும் எந்த அவதானிப்பு -முடிபுச் சோடி கட்டாயமாக உண்மையாகும்?
28, 29, 30 ஆகிய வினாக்கள் கீழே தரப்பட்டுள்ள தகவலை அடிப்படையாகக் கொண்டவை.
கட்டளைகளின் பேரில் பசளை உற்பத்தி செய்யும் தொழிற்சாலையொன்றில் மூன்று பொறிகள் உள்ளன. எந்தவொரு பொறியிலும் எந்தவொரு வகைப் பசளையையும் உற்பத்தி செய்ய முடியுமெனினும்இ எந்தவொரு பொறியும் ஒரேநாளில் இரண்டு அல்லது இரண்டுக்கு மேற்பட்ட வகைப் பசளைகளை உற்பத்தி செய்வதற்காகப் பயன்படுத்துதலாகாது. ஒவ்வொரு பொறியினதும் கொள்ளளவு அதாவது ஒவ்வொரு பொறியினாலும் ஒரு மணி நேரத்தில் X, Y ஆகிய ஒவ்வொரு பசளையினதும் உற்பத்தி செய்யக்கூடிய அளவு தொன்னில் கீழே தரப்பட்டுள்ளன.

X வகைப் பசளை B பொறியினால் மாத்திரம் உற்பத்தி செய்யப்படுமாயின், X வகைப் பசளை 100 தொன், Y வகைப் பசளை 150 தொன் இற்கான கட்டளையைப் பூர்த்திசெய்வதற்கு எவ்வளவு நேரம் செல்லும்?
28, 29, 30 ஆகிய வினாக்கள் கீழே தரப்பட்டுள்ள தகவலை அடிப்படையாகக் கொண்டவை.
கட்டளைகளின் பேரில் பசளை உற்பத்தி செய்யும் தொழிற்சாலையொன்றில் மூன்று பொறிகள் உள்ளன. எந்தவொரு பொறியிலும் எந்தவொரு வகைப் பசளையையும் உற்பத்தி செய்ய முடியுமெனினும், எந்தவொரு பொறியும் ஒரேநாளில் இரண்டு அல்லது இரண்டுக்கு மேற்பட்ட வகைப் பசளைகளை உற்பத்தி செய்வதற்காகப் பயன்படுத்துதலாகாது. ஒவ்வொரு பொறியினதும் கொள்ளளவு அதாவது ஒவ்வொரு பொறியினாலும் ஒரு மணி நேரத்தில் X,Y ஆகிய ஒவ்வொரு பசளையினதும் உற்பத்தி செய்யக்கூடிய அளவு தொன்னில் கீழே தரப்பட்டுள்ளன.

Y வகைப் பசளை A பொறியினால் மாத்திரம் உற்பத்தி செய்யப்படுமாயின், X வகைப் பசளை 250 தொன், Y வகைப் பசளை 120 தொன் இற்கான கட்டளையைப் பூர்த்திசெய்வதற்கு எவ்வளவு நேரம் எடுக்கும்?
28, 29, 30 ஆகிய வினாக்கள் கீழே தரப்பட்டுள்ள தகவலை அடிப்படையாகக் கொண்டவை.
கட்டளைகளின் பேரில் பசளை உற்பத்தி செய்யும் தொழிற்சாலையொன்றில் மூன்று பொறிகள் உள்ளன. எந்தவொரு பொறியிலும் எந்தவொரு வகைப் பசளையையும் உற்பத்தி செய்ய முடியுமெனினும், எந்தவொரு பொறியும் ஒரேநாளில் இரண்டு அல்லது இரண்டுக்கு மேற்பட்ட வகைப் பசளைகளை உற்பத்தி செய்வதற்காகப் பயன்படுத்துதலாகாது. ஒவ்வொரு பொறியினதும் கொள்ளளவு அதாவது ஒவ்வொரு பொறியினாலும் ஒரு மணி நேரத்தில் X, Y ஆகிய ஒவ்வொரு பசளையினதும் உற்பத்தி செய்யக்கூடிய அளவு தொன்னில் கீழே தரப்பட்டுள்ளன.

பொறிகள் உச்ச வலுவுடன் பயன்படுத்தப்படுமாயின், X வகைப் பசளை 100 தொன், Y வகை பசளை 120 தொன் இற்கான கட்டளையைப் பூர்த்திசெய்வதற்குத் தேவையான அதிகுறைந்த நேரம் எவ்வளவு?
ஒருவருக்கொருவர் 3 km தூரத்தில் காட்டில் வழி தவறிய இரண்டு சுற்றுலாப்பயணிகள், ஒருவர் மற்றையவரது பெயரை உரத்துக் கூறியவாறு 1 km h–¹ கதியில் ஒருவரை ஒருவர் நெருங்குகின்றனர். ஒரு சுற்றுலாப் பயணியினால் 1km வீச்சில் உரத்துக் குரலெழுப்ப முடிவதோடு மற்றையவருக்கு 0.5 km வீச்சில் மாத்திரம் குரலெழுப்ப முடியும். எத்தனை நிமிடங்களின் பின்னர் ஒவ்வொருவரும் மற்றையவரது குரலைச் செவிமடுக்கலாம்?
32, 33, 34 ஆகிய வினாக்கள் கீழே தரப்பட்டுள்ள தகவலை அடிப்படையாகக் கொண்டவை.
குறித்தவொரு உளவுத்துறையினர் 1950 ஜனவரி 01 ஆந் திகதியிலிருந்து திகதிக் குறியீடாக்கம் செய்வதற்காக இரகசிய மொழியொன்றைத் தயாரித்தனர். அதற்கமைய 1987 பெப்ரவரி 12ஆந் திகதி என்பது 2789120 எனவும் 2001 ஜூலை 15 ஆந் திகதி 7100217 எனவும் குறியீட்டாக்கம் செய்யப்பட்டது.
8910217 எனக் குறியீட்டாக்கஞ்செய்யப்பட்ட திகதி எது?
32, 33, 34 ஆகிய வினாக்கள் கீழே தரப்பட்டுள்ள தகவலை அடிப்படையாகக் கொண்டவை.
குறித்தவொரு உளவுத்துறையினர் 1950 ஜனவரி 01 ஆந் திகதியிலிருந்து திகதிக் குறியீடாக்கம் செய்வதற்காக இரகசிய மொழியொன்றைத் தயாரித்தனர். அதற்கமைய 1987 பெப்ரவரி 12ஆந் திகதி என்பது 2789120 எனவும் 2001 ஜூலை 15 ஆந் திகதி 7100217 எனவும் குறியீட்டாக்கம் செய்யப்பட்டது.
பின்வருவனவற்றுள் குறியீட்டாக்கம் செய்யப்படாத ஒரு நாளாக அமைவது எது?
32, 33, 34 ஆகிய வினாக்கள் கீழே தரப்பட்டுள்ள தகவலை அடிப்படையாகக் கொண்டவை.
சிறிது காலத்தின் பின்னர் இக்குறியீட்டுமொழியில் பாரதூரமான ஒரு குறைபாடு இருப்பதாக உளவுத்துறையினரால் கண்டறியப்பட்டது. அதனைக் காட்டுவதற்குப் பயன்படுத்தக்கூடிய குறியீடு பின்வருவனவற்றுள் எது?
பின்வரும் கூற்றைக் கருதுக.
‘எந்தவொரு வகை மரவள்ளியையும் பயிரிடுவதற்கு மழைக் காலத்தில் உலர்வலயமோ (dry zone) பச்சை இல்லமோ மிகப் பொருத்தமானது ஆகும்.”
மேற்குறித்த கூற்றின் நம்பகத்தன்மையைப் பாரதூரமான வகையில் பின்வரும் அவதானிப்புகளுள் எது உண்மையாயின், தரப்பட்டுள்ள கூற்றுகளைப் பலவீனப்படுத்தும்?
36, 37, 38 ஆகிய வினாக்கள் பின்வரும் விவரங்களை அடிப்படையாகக் கொண்டவை.
A, B, C , D, E என்ற ஐந்து நபர்கள் ஒழுங்கான ஐங்கோணியொன்றின் உச்சிகளில் B இற்கு மேற்கே A யும் E இற்கு கிழக்கே C உம் ஆகுமாறு நிற்கின்றனர். ஐங்கோணியின் மீது X இலிருந்து Y இற்கான குறைந்த தூரம் dist (X,Y) இனால் தரப்படுவதாகக் கொள்க. (உதாரணமாக ஐங்கோணியில் அருகருகே அமையும் இரண்டு உச்சிகளின் மீது X , Y ஆகியன அமைந்திருக்குமாயின், அதன்போது dist (X,Y) =1 ஆகும்.
பின்வருவனவற்றுள் எது கண்டிப்பாக உண்மையாகும்?
36, 37, 38 ஆகிய வினாக்கள் பின்வரும் விவரங்களை அடிப்படையாகக் கொண்டவை.
A, B, C , D என்ற ஐந்து நபர்கள் ஒழுங்கான ஐங்கோணியொன்றின் உச்சிகளில் B இற்கு மேற்கே A யும் E இற்கு கிழக்கே C உம் ஆகுமாறு நிற்கின்றனர். ஐங்கோணியின் மீது X இலிருந்து Y இற்கான குறைந்த தூரம் dist (X,Y) இனால் தரப்படுவதாகக் கொள்க. (உதாரணமாக ஐங்கோணியில் அருகருகே அமையும் இரண்டு உச்சிகளின் மீது X , Y ஆகியன அமைந்திருக்குமாயின், அதன்போது dist (X,Y) =1 ஆகும்.
X , Y ஆகியோர் ஐங்கோணியின் மீது நிற்கும் இருவரெனின், பின்வருவனவற்றுள் எது அதிகூடிய dist (X , Y) ஆக இருக்கலாம்?
36, 37, 38 ஆகிய வினாக்கள் பின்வரும் விவரங்களை அடிப்படையாகக் கொண்டவை.
A, B, C , D என்ற ஐந்து நபர்கள் ஒழுங்கான ஐங்கோணியொன்றின் உச்சிகளில் B இற்கு மேற்கே A யும் E இற்கு கிழக்கே C உம் ஆகுமாறு நிற்கின்றனர். ஐங்கோணியின் மீது X இலிருந்து Y இற்கான குறைந்த தூரம் dist (X,Y) இனால் தரப்படுவதாகக் கொள்க. (உதாரணமாக ஐங்கோணியில் அருகருகே அமையும் இரண்டு உச்சிகளின் மீது X , Y ஆகியன அமைந்திருக்குமாயின், அதன்போது dist (X,Y) =1 ஆகும்.
பின்வருவனவற்றுள் எதனை முடிபு செய்ய முடியாது?
39, 40 ஆகிய வினாக்கள் பின்வருவனவற்றை அடிப்படையாகக் கொண்டவை. கம்பனியொன்றில் தொழிலுக்காக விண்ணப்பித்துள்ள விண்ணப்பதாரிகள் ஐந்து பேர் தொடர்பான தகவல்களின் பொழிப்பு கீழே அட்டவணையில் தரப்பட்டுள்ளது.

பிரதான பாடங்களில் குறைந்தபட்சம் இரண்டு B தரங்களும் பொதுச் சாதாரணப் பரீட்சையில் 75 புள்ளிகளுக்குக் கூடுதலாகவும் பொது ஆங்கிலத்தில் B அல்லது அதிலும் உயர்ந்த தரமும் பெற்றுள்ள விண்ணப்பதாரர்களுக்கு ஒரு குறித்த பதவியை நாடலாம். அதற்கான தகுதியைப் பூர்த்தி செய்துள்ள விண்ணப்பதாரர்கள் யாவர்?
39, 40 ஆகிய வினாக்கள் பின்வருவனவற்றை அடிப்படையாகக் கொண்டவை. கம்பனியொன்றில் தொழிலுக்காக விண்ணப்பித்துள்ள விண்ணப்பதாரிகள் ஐந்து பேர் தொடர்பான தகவல்களின் பொழிப்பு கீழே அட்டவணையில் தரப்பட்டுள்ளது.

மற்றுமொரு பதவிக்காக கம்பனி பொது ஆங்கிலத்தில் குறைந்தபட்சம் C தரமும் குறைந்தபட்சம் பிரதான பாடமொன்றில் A தரமும் பொதுச் சாதாரணப் பரீட்சையில் 75 இற்கு மேற்பட்ட புள்ளியையும் பெற்ற 22 வயதுக்கு மேற்பட்ட பெண் விண்ணப்பதாரியொருவரை எதிர்பார்க்கின்றது. அதற்கான தகுதியைப் பூர்த்தி செய்துள்ள விண்ணப்பதாரிகள் எத்தனை பேர்?
41, 42 ஆகிய வினாக்களில் முடிபொன்றும் I, II, III என இலக்கமிடப்பட்ட மூன்று கூற்றுகளைக் கொண்ட தகவல் தொகுதியொன்றும் தரப்பட்டுள்ளன.
• ஒரு கூற்றை மாத்திரம் பயன்படுத்தி முடிவெடுக்க முடியுமாயின் A ஐத் தெரிவு செய்க.
• கூற்று, I, கூற்று II ஆகியவற்றைப் பயன்படுத்தி முடிவெடுக்க முடியுமாயின் B ஐத் தெரிவு செய்க.
• கூற்று I, கூற்று III ஆகியவற்றைப் பயன்படுத்தி முடிவெடுக்க முடியுமாயின் C ஐத் தெரிவு செய்க.
• கூற்று II, கூற்று III ஆகியவற்றைப் பயன்படுத்தி முடிவெடுக்க முடியுமாயின் D ஐத் தெரிவு செய்க.
• I, II, III ஆகிய மூன்று கூற்றுகளையும் கூட்டாகப் பயன்படுத்தி முடிவெடுக்க முடியுமாயின் E ஐத் தெரிவு செய்க.
முடிபு : P நகரில் இருந்து Q நகரம் வரையிலான தூரத்தைக் கணிக்க முடியும்.
I. P நகரில் இருந்து Q நகரத்துக்கு ஊடாக R நகரம் வரையிலான தூரம் தரப்பட்டுள்ளது.
II. Q நகரில் இருந்து R நகரத்துக்கு ஊடாக P நகரம் வரையிலான தூரம் தரப்பட்டுள்ளது.
III. R நகரில் இருந்து P நகரத்துக்கு ஊடாக Q நகரம் வரையிலான தூரம் தரப்பட்டுள்ளது.
41, 42 ஆகிய வினாக்களில் முடிபொன்றும் I, II, III என இலக்கமிடப்பட்ட மூன்று கூற்றுகளைக் கொண்ட தகவல் தொகுதியொன்றும் தரப்பட்டுள்ளன.
• ஒரு கூற்றை மாத்திரம் பயன்படுத்தி முடிவெடுக்க முடியுமாயின் A ஐத் தெரிவு செய்க.
• கூற்று, I, கூற்று II ஆகியவற்றைப் பயன்படுத்தி முடிவெடுக்க முடியுமாயின் B ஐத் தெரிவு செய்க.
• கூற்று I, கூற்று III ஆகியவற்றைப் பயன்படுத்தி முடிவெடுக்க முடியுமாயின் C ஐத் தெரிவு செய்க.
• கூற்று II, கூற்று III ஆகியவற்றைப் பயன்படுத்தி முடிவெடுக்க முடியுமாயின் D ஐத் தெரிவு செய்க.
• I, II, III ஆகிய மூன்று கூற்றுகளையும் கூட்டாகப பயன்படுத்தி முடிவெடுக்க முடியுமாயின் E ஐத் தெரிவு செய்க.
முடிபு : உடற்பயிற்சி வேலைத்திட்டங்களில் பயிற்சி பெறுவோர் பயிற்சிகளில் ஈடுபடும்போது அவர்களது உடல் வெப்பநிலை அதிக அளவில் உயர்வதனைத் தடுப்பதற்காக முற்காப்பு உத்திகளைக் கையாளல் வேண்டும்.
I. உடல் வெப்பநிலை உயர்வடைதலானது நீரகற்றல் நிலைக்குக் காரணமாகலாம்.
II. ஒருவரது உடல் வெப்பநிலை 41ழஊ ஐத் தாண்டுமாயின் அவர் வெப்பத் தாக்குக்கு (heat stroke) ளவசழமந) ஆளாக இடமுண்டு.
III. வெப்பத்தாக்கு இதயத்தின் தொழிற்பாட்டை நலிவடையச் செய்வதோடு, மரணம் சம்பவிப்பதற்கும் காரணமாகலாம்.
ஒரு குடும்பத்தின் இராப்போசனத்தில் மீன், கோழி இறைச்சி ஆகிய இரண்டு வகைகளும் அடங்கியுள்ளன. குடும்பத்தின் சில உறுப்பினர்கள் மீன் மாத்திரம் உண்டதோடு, சிலர் கோழி இறைச்சி மாத்திரம் உண்டனர். குடும்பத்தில் சில உறுப்பினர்கள் காய்கறிகள் மாத்திரம் உண்பவர்களாவர். அவர்கள் மீனோ கோழி இறைச்சியோஉண்ணவில்லை. குடும்பத்தில் ஏனைய உறுப்பினர்கள் மீன், கோழியிறைச்சி ஆகிய இரண்டு வகைகளையும் உண்டனர். மேற்படி நிலைமையை பின்வரும் எவ்வரிப்படம் மிகவும் தர்க்க ரீதியாக விவரிக்கின்றது?
44, 45 ஆகிய வினாக்கள் பின்வரும் பத்திரிகை விளம்பரத்தை அடிப்படையாகக் கொண்டவை.

இந்த அறிவித்தலின் மூலம் நுகர்வோருக்கு வழங்கப்படும் முக்கிய தகவல் யாது?
44, 45 ஆகிய வினாக்கள் பின்வரும் பத்திரிகை விளம்பரத்தை அடிப்படையாகக் கொண்டவை.

குறித்த பிரதேசங்களில் மின்விநியோகத்தில் தடங்கல் ஏற்படுத்துவதற்கு காரணமாக அமையத்தக்கது
46, 47 ஆகிய வினாக்களில் 1, 7 ஆகிய வாக்கியங்களுக்கு இடையே உள்ள A, B, C, D, E ஆகிய வாக்கியங்கள் சரியான ஒழுங்குமுறைப்படி தரப்படவில்லை. ஏழு வாக்கியங்களையும் தர்க்கரீதியாக ஒழுங்குபடுத்தினால் அந்த வாக்கியங்களின் சரியான ஒழுங்கைத் தெரிவுசெய்க.
1 – உங்களது மின்னஞ்சலை வாசிக்கக் கிடைத்தமை குறித்துப் பெருமகிழ்ச்சியடைகிறேன்,
A – எப்படி உங்களது பரீட்சை? நன்றாகச் செய்தீர்களா?
B – பெறுபேறு கிடைத்த பின்பு தயவு செய்து எங்களைப் பார்க்க வாருங்கள்.
C – நீங்கள் ஒரு மாதமாக எனக்கு மின்னஞ்சல்கள் அனுப்பவில்லை.
D – நீங்கள் பரீட்சைக்காகப் படிக்கின்றமையை நான் அறிந்திருந்தேன்.
E – நீங்கள் பரீட்சையில் உயரிய சித்தி பெறுவீர்கள் என்பது எனது நம்பிக்கையாகும்.
7 – நீங்கள் எங்களைப் பார்க்க வரும்போது உங்களது கிற்றாரையும் தவறாது கொண்டு வாருங்கள்.
46, 47 ஆகிய வினாக்களில் 1இ 7 ஆகிய வாக்கியங்களுக்கு இடையே உள்ள A, B, C, D, E ஆகிய வாக்கியங்கள் சரியான ஒழுங்குமுறைப்படி தரப்படவில்லை. ஏழு வாக்கியங்களையும் தர்க்கரீதியாக ஒழுங்குபடுத்தினால் அந்த வாக்கியங்களின் சரியான ஒழுங்கைத் தெரிவுசெய்க.
1 – திருமதி. சீலா அவரது ஊரில் மட்பாண்டக் கைத்தொழிலொன்றை ஆரம்பித்தார்.
A – அவரின் கீழ் இப்பொழுது 10 பெண்கள் வேலை செய்கின்றார்கள்.
B – மேலதிக பெண்களை பணியில் அமர்த்துவதற்காக அவர் பல இடங்களில் அறிவித்தலொன்றைக் காட்சிப்படுத்தினார்.
C – உற்பத்திச் செயன்முறை இப்பொழுது இரண்டு சேவை மாற்றுக்களின் கீழ் நடைபெறுகின்றது.
D – அவர் தொடக்கத்தில் கிராமிய பொருளாதார அலுவல்கள் அமைச்சின் ஒத்துழைப்பைப் பெற்றார்.
E – துலங்கல்கள் மிக சாதகமானவையாக இருந்தன.
7 – திருமதி. சீலா முயற்சியுடைமைக்கு உண்மையான ஓர் எடுத்துக்காட்டாவார்.
கீழே விபரிக்கப்படும் நிகழ்வுகளைக் காட்டுவதற்கு ஆறு படங்கள் வரையப்பட்டுள்ளன.
ஆண் பிள்ளையொருவர் பேருந்து தரிப்பிடத்துக்கு விரைவாக வந்தபோதிலும் அவருக்கு இரண்டு பேருந்துகளிலும் ஏறிக்கொள்ள முடியாமை காரணமாக தனது பயணத்தை முச்சக்கரவண்டியொன்றில் பயணித்தல்.

கீழே காட்டப்பட்ட எந்த ஒழுங்குமுறைப்படி படங்கள் சரியான விதத்தில் ஒழுங்குப்படுத்தப்பட்டுள்ளன?
49, 50 ஆகிய வினாக்கள் பின்வரும் உரையாடல் பகுதியை அடிப்படையாகக் கொண்டவை.
இவ் உரையாடல் தனது மகனின் சான்றிதழ் பிரதியொன்றினைப் பெறுவதற்காக பரீட்சைத் திணைக்களத்துக்கு வந்த ஒரு பெண்ணிற்கும் விசாரணைக் கருமபீடத்தில் இருந்த வரவேற்பாளராகிய பெண் உத்தியோகத்தருக்கும் இடையே இடம்பெற்றது. பெண்மணியின் காலை வணக்கத்துடன் உரையாடல் ஆரம்பித்ததுடன் அவரது நன்றி தெரிவிப்புடன் அது முடிவடைந்தது. உரையாடலின் ஏனைய பகுதிகள் ஒன்றுடனொன்று கலந்திருப்பதுடன் A, B, C, D, E, F, G, H, I, J, K ஆகிய எழுத்துக்களால் காட்டப்பட்டுள்ளன.
♦ – காலை வணக்கம் மிஸ்!
A – சான்றிதழை இலங்கையிலா அல்லது வெளிநாட்டிலா பயன்படுத்த எதிர்பார்க்கின்றீர்கள்?
B – ஆம், வெளிநாடொன்றில் எனது மகன் வெளிநாட்டுப் பல்கலைக்கழகமொன்றில் பட்டப்படிப்பு பாடநெறியொன்றுக்காக விண்ணப்பிக்க எதிர்பார்க்கிறார். எனவே அது ஆங்கிலமொழியில் தேவைப்படுகின்றது.
C – ஆம், என்னிடம் இருக்கிறது. ஆனால் நான் வெளிநாட்டலுவல்கள் அமைச்சின் மூலம் அதனை எப்படி உறுதி செய்துகொள்வது?
D – எமது திணைக்களம் சான்றிதழை நாளை காலையில் வெளிநாட்டு அலுவல்கள் அமைச்சுக்கு அனுப்பும். உங்களுக்கு அதனை நாளை பகல் 12.00 மணிக்குப் பின்னர் வெளிநாட்டு அலுவல்கள் அமைச்சின் கொன்சியுலர் பிரிவினால் உறுதிப்படுத்திப் பெற்றுக் கொள்ளலாம்.
E – சான்றிதழ் ஆங்கில மொழியில் உள்ளது. அதனை வெளிநாட்டு அலுவல்கள் அமைச்சில் உறுதி செய்து கொள்ளல் வேண்டும்.
F – நான் அதனை எவ்வாறு செய்துகொள்வது?
G – அது உங்களுடையதா?
H – இல்லை, அது எனது மகனுடையது.
I – வணக்கம் அம்மா. என்னிடம் என்ன உதவியை எதிர்பார்க்கின்றீர்கள்?
J – ஆமாம். உயர்தர சான்றிதழ் ஒன்றை எவ்வாறு பெற்றுக்கொள்வது என எனக்குத் தெளிவாக சொல்வீர்களா?
K – இதோ விண்ணப்பப் பத்திரம். இதனை சரியாகப் பூரணப்படுத்தி இந்த கட்டடத்தின் தரைத்தளத்தில் உள்ள இல. 01 கருமபீடத்தில் ஒப்படையுங்கள். அங்கு இருக்கும் உத்தியோகத்தர் உங்களுக்கு உதவி செய்வார். உங்களிடம் பரீட்சை ஆண்டு, சுட்டிலக்கம் போன்ற தேவையான தகவல்கள் உள்ளனவா?
♦ – நல்லது. மிஸ், நீங்கள் முழு வேலையையும் நன்றாக விளக்கினீர்கள். மிக்க நன்றி.
இப்பெண்மணியினால் அவரது வாழ்த்து தெரிவிப்பு, நன்றி தெரிவிப்பு ஆகியவற்றுக்கு மேலாக மேற்கொள்ளப் பட்ட உரையாடற் பகுதிகள் யாவை?
49, 50 ஆகிய வினாக்கள் பின்வரும் உரையாடல் பகுதியை அடிப்படையாகக் கொண்டவை.
இவ் உரையாடல் தனது மகனின் சான்றிதழ் பிரதியொன்றினைப் பெறுவதற்காக பரீட்சைத் திணைக்களத்துக்கு வந்த ஒரு பெண்ணிற்கும் விசாரணைக் கருமபீடத்தில் இருந்த வரவேற்பாளராகிய பெண் உத்தியோகத்தருக்கும் இடையே இடம்பெற்றது. பெண்மணியின் காலை வணக்கத்துடன் உரையாடல் ஆரம்பித்ததுடன் அவரது நன்றி தெரிவிப்புடன் அது முடிவடைந்தது. உரையாடலின் ஏனைய பகுதிகள் ஒன்றுடனொன்று கலந்திருப்பதுடன் A, B, C, D, E, F, G, H, I, J, K ஆகிய எழுத்துக்களால் காட்டப்பட்டுள்ளன.
♦ – காலை வணக்கம் மிஸ்!
A – சான்றிதழை இலங்கையிலா அல்லது வெளிநாட்டிலா பயன்படுத்த எதிர்பார்க்கின்றீர்கள்?
B – ஆம், வெளிநாடொன்றில் எனது மகன் வெளிநாட்டுப் பல்கலைக்கழகமொன்றில் பட்டப்படிப்பு பாடநெறியொன்றுக்காக விண்ணப்பிக்க எதிர்பார்க்கிறார். எனவே அது ஆங்கிலமொழியில் தேவைப்படுகின்றது.
C – ஆம், என்னிடம் இருக்கிறது. ஆனால் நான் வெளிநாட்டலுவல்கள் அமைச்சின் மூலம் அதனை எப்படி உறுதி செய்துகொள்வது?
D – எமது திணைக்களம் சான்றிதழை நாளை காலையில் வெளிநாட்டு அலுவல்கள் அமைச்சுக்கு அனுப்பும். உங்களுக்கு அதனை நாளை பகல் 12.00 மணிக்குப் பின்னர் வெளிநாட்டு அலுவல்கள் அமைச்சின் கொன்சியுலர் பிரிவினால் உறுதிப்படுத்திப் பெற்றுக் கொள்ளலாம்.
E – சான்றிதழ் ஆங்கில மொழியில் உள்ளது. அதனை வெளிநாட்டு அலுவல்கள் அமைச்சில் உறுதி செய்து கொள்ளல் வேண்டும்.
F – நான் அதனை எவ்வாறு செய்துகொள்வது?
G – அது உங்களுடையதா?
H – இல்லை, அது எனது மகனுடையது.
I – வணக்கம் அம்மா. என்னிடம் என்ன உதவியை எதிர்பார்க்கின்றீர்கள்?
J – ஆமாம். உயர்தர சான்றிதழ் ஒன்றை எவ்வாறு பெற்றுக்கொள்வது என எனக்குத் தெளிவாக சொல்வீர்களா?
K – இதோ விண்ணப்பப் பத்திரம். இதனை சரியாகப் பூரணப்படுத்தி இந்த கட்டடத்தின் தரைத்தளத்தில் உள்ள இல. 01 கருமபீடத்தில் ஒப்படையுங்கள். அங்கு இருக்கும் உத்தியோகத்தர் உங்களுக்கு உதவி செய்வார். உங்களிடம் பரீட்சை ஆண்டு, சுட்டிலக்கம் போன்ற தேவையான தகவல்கள் உள்ளனவா?
♦ – நல்லது. மிஸ், நீங்கள் முழு வேலையையும் நன்றாக விளக்கினீர்கள். மிக்க நன்றி.
மேற்படி உரையாடலின் மிகத் தர்க்கரீதியான ஒழுங்குமுறை பின்வருவனவற்றில் எது?
இலங்கையில் சுகாதார அமைச்சு, மென்பான உற்பத்திகளுக்கு அவற்றில் அடங்கியுள்ள சீனி மட்டத்தை அடிப்படையாகக் கொண்டு நிறக் குறியீட்டுத் தொகுதியொன்றை அறிமுகஞ் செய்துள்ளது. அதற்காகப் பயன்படுத்தப்படும் மூன்று நிறங்களும் எவை?
‘சித்திரை மாதச் சத்தியப் பிரமாணம்’ எனும் தேசிய சத்தியப் பிரமாணம் இலங்கை ஜனாதிபதியால் 2019 ஏப்ரல் 3 ஆம் திகதி வைபவ ரீதியாக ஆரம்பிக்கப்பட்டது. இந்த சத்தியப் பிரமாணத்தின் நோக்கம் யாது?
ஐக்கிய நாடுகளின் பேண்தகு அபிவிருத்தி தீர்வு வலையமைப்பின் மூலம் 156 நாடுகளைச் சேர்ந்த மக்கள், அவர்களால் உணரப்படும் வகையில் எந்த அளவு மகிழ்ச்சியுடன் இருக்கின்றனர் எனும் ஆய்வு நடத்தப்பட்ட பின்னர், உலகின் மகிழ்ச்சி தொடர்பான அறிக்கை முன்வைக்கப்பட்டது. உலகில் மகிழ்ச்சிமிக்க நாடுகள் தொடர்பான ஐக்கிய நாடுகளின் 2019 ஆம் ஆண்டுக்குரிய பட்டியலில் முதலிடத்தைப் பெற்றுள்ள நாடு எது?
1787 இல் இங்கிலாந்து, லண்டன் நகரில் தாபிக்கப்பட்ட கிரிக்கட் விளையாட்டு தொடர்பான பண்டைய கட்டுப்பாட்டு சபையாகிய முன்னர் நடைமுறையிலிருந்த மாலிபோன் கிரிக்கட் சங்கத்தினால் (ஆஊஊ) முதன்முதலாக பிரித்தானியரல்லாத ஒரு தலைவர் 2019 ஒக்டோபர் 01 ஆம் திகதி முதல் ஒரு வருட காலத்துக்காக நியமிக்கப்பட்டிருந்தார். அவ்வாறு நியமிக்கப்பட்டவர் யார்?
ஐந்து மாதங்களுக்கும் குறைவான காலத்துள் நிகழ்ந்த கோரமான இரண்டு விமான விபத்துக்களுக்கிடையே காணப்பட்ட ஒற்றுமைகள் மூலம் வெளிப்படுத்தப்பட்ட சாட்சியங்களைக் காரணமாகக் கொண்டு 2019 மார்ச் மாதமளவில் 50 இற்கும் மேற்பட்ட நாடுகள் ஒரு குறித்த வகை போயிங் (Boeing) விமானங்களைப் பயன்பாட்டில் இருந்து நீக்கின. அவ்விமான வகை எது?
2018 ஆம் ஆண்டு இலங்கைத் தேயிலையை மிகக் கூடுதலான அளவில் கொள்வனவு செய்த நாடு எது?
பொது மக்களுக்கு தகவல்கள் வழங்குவதற்காகவும் அரச நிறுவனங்களிலிருந்து சேவைகளைப் பெறுவது எவ்வாறு என வழிகாட்டுவதற்காகவும் அரச தகவல் மையத்தில் மும்மொழி மூல அழைப்பு நிலைய வசதிகள் செய்யப்பட்டுள்ளன. இச்சேவையைப் பெறுபவர்கள் அழைப்பதற்குரிய கட்டணமின்றிய தொலைபேசி இலக்கம் யாது?
சந்தையில் உள்ள இறக்குமதி செய்யப்பட்ட சில பால்மா வகைகளில் பின்வரும் எந்த குறித்த இரசாயனச் சேர்வை அடங்கியுள்ளதாக அண்மைக் காலத்தில் சர்ச்சை ஏற்பட்டது. அவ் இரசாயனச் சேர்வை,
2022 இல் சீனாவில் ஹன்ஷொன் நகரில் நடைபெறவுள்ள ஆசிய விளையாட்டு விழாவின் விளையாட்டு நிகழ்ச்சி நிரலில், பின்வரும் எந்த விளையாட்டை மீள அறிமுகஞ் செய்வதென ஆசிய ஒலிம்பிக் சபை தீர்மானித்துள்ளது?
ராஜன் 4.5% வருடாந்த எளிய வட்டி வீதத்தில் ரூபா. 3240 இனை முதலீடு செய்தார். வட்டியாக ரூ. 729 ராஜாவுக்கு கிடைப்பதற்கு எவ்வளவு காலம் எடுக்கும்?
x,y என்னும் எவையேனும் இரு எண்கள் மீது கணிதச் செய்கை ⊕ ஆனது x ⊕ y = x(x + y)- y என
வரையறுக்கப்படுகின்றது. (1 ⊕ 2) – (2 ⊕ 1) இன் பெறுமானம் யாது?
பயன்படுத்திய மோட்டார் வாகனமொன்றை ரூபா 3.2 மில்லியனுக்கு வாங்கிய மோட்டார் வாகன கராஜ் உரிமையாளர் ஒருவர் ரூபா 800 000 செலவு செய்து அதனைப் பழுதுபார்த்து ரூபா 4.8 மில்லியனுக்கு விற்றார். அவர் பெற்ற இலாபச் சதவீதம் யாது?
ஒரு மாணவன் கணித பாடச் சோதனையொன்றில் 45 புள்ளிகள் பெற்றான். எனினும் அது புள்ளிப் பட்டியலில் 75 எனத் தவறாகப் பதிவு செய்யப்பட்டிருந்தது. அத்தவறை திருத்திய பின்னர் கணித பாடச் சோதனைக்காக வகுப்பின் சராசரிப் (இடை) புள்ளி 1.5 இனால் குறைவடைந்தது. அக்கணித பாடச் சோதனைக்கு தோற்றிய மாணவர் எண்ணிக்கை யாது?
அமலன் 15 km ஓட்டப்போட்டியை ஓடி முடிப்பதற்கு பொதுவாக பாலனைவிட ½ மணி நேரம் கூடுதலாக எடுப்பான். அமலன் தனது கதியை இருமடங்காக்கினால் அப்போட்டியை ஓடி முடிப்பதற்கு பாலனை விட ½ மணி நேரம் குறைவாக எடுப்பான். அமலனின் சராரிக் கதி யாது?
1958 இல் பிறந்த திரு. சீலன் 2022 இல் அவரது புதல்வனாகிய நாதனை விட இரண்டு மடங்கு வயதுடையவராக இருப்பார். நாதனின் தற்போதைய வயது யாது?
செவ்வகமொன்றின் ஒவ்வொரு பக்கத்தினதும் நீளத்தை 40% இனால் அதிகரிக்கச் செய்தால் அச்செவ்வகத்தின் பரப்பளவு எத்தனை சதவீதத்தினால் அதிகரிக்கும்?
A, B, C என்போர் ஒரு கம்பனியில் 2 : 3 : 4 எனும் விகிதத்தில் சம்பளம் பெறும் மூன்று ஊழியர்கள் ஆவர். அவர்களுக்கு முறையே 20%, 20%, 30% சம்பள அதிகரிப்புக் கிடைக்குமாயின் அவர்களது சம்பளங்களுக்கிடையிலான புதிய விகிதம் யாது?
ஒரே மாறா வீதத்தில் தொழிற்படும் சர்வசமனான எட்டுப் பொறிகளினால் ஒரு நிமிடத்தில் 280 பொருட்களை உற்பத்தி செய்யலாம். அதே வீதத்தில் தொழிற்படுகின்ற அதே வகையைச் சேர்ந்த 15 பொறிகளால் 6 நிமிடத்தில் அவ்வகையான எத்தனை பொருட்களை உற்பத்தி செய்யலாம்?
21, 22 ஆகிய வினாக்களுக்காக தெரிவுசெய்யப்பட்ட ஒரு பிரதேசத்தில் அடுத்தடுத்து வந்த ஆறு நாட்களில் ஒவ்வொரு நாளும் ஆட்கொல்லி நோயல்லாத வைரசுக் காய்ச்சல் தொற்றுக்கு ஆளாகிய, அந்நோயிலிருந்து குணமாகிய ஆட்களின் எண்ணிக்கைகளைக் காட்டும் பின்வரும் வரைபுகளைக் கவனத்திற் கொள்க.

அதிக எண்ணிக்கையானோர் வைரசு நோய்த் தொற்றுக்கு ஆளாகிய நாள் எது?
21, 22 ஆகிய வினாக்களுக்காக தெரிவுசெய்யப்பட்ட ஒரு பிரதேசத்தில் அடுத்தடுத்து வந்த ஆறு நாட்களில் ஒவ்வொரு நாளும் ஆட்கொல்லி நோயல்லாத வைரசுக் காய்ச்சல் தொற்றுக்கு ஆளாகிய, அந்நோயிலிருந்து குணமாகிய ஆட்களின் எண்ணிக்கைகளைக் காட்டும் பின்வரும் வரைபுகளைக் கவனத்திற் கொள்க.

திங்கள் தொடக்கம் வெள்ளி வரையில் 5 நாள் காலப்பகுதியில் நோய்த் தொற்றுக்கு ஆளானோரின் எண்ணிக்கை யாது?
23, 24 ஆகிய வினாக்களுக்கு மேலே செல்லத் தயாராகும் உயர்த்தியொன்றின் (lift) வாயிலில் இடம்பெற்ற பின்வரும் உரையாடலைக் கவனத்திற்கொள்க.
முதலாவது நபர் : இந்த உயர்த்தில் குறைந்தபட்சம் இன்னும் இரண்டு பேர் செல்ல முடியும்.
இரண்டாவது நபர் : உண்மையில் இதில் ஐந்து பேருக்கு அதிகமானோர் செல்ல முடியும்.
மூன்றாவது நபர் : இல்லையில்லை, ஏற்கனவே இது அளவுக்கதிகமாக நிரம்பியுள்ளது; இது மேலே
செல்ல வேண்டுமெனின் நான் இதிலிருந்து இறங்க வேண்டியேற்படும்.
நான்காவது நபர் : சரி, இந்த உயர்த்தியில் நாங்கள் நான்கு பேர் மாத்திரம் தானே இருக்கின்றோம்.
இந்த உரையாடலில் மூன்று பேர் மாத்திரம் உண்மை பேசுவார்களாயின், இந்த உயர்த்தியின் கொள்ளளவு பின்வருவனவற்றுள் எதுவாக இருக்க வேண்டும்?
23, 24 ஆகிய வினாக்களுக்கு மேலே செல்லத் தயாராகும் உயர்த்தியொன்றின் (lift) வாயிலில் இடம்பெற்ற பின்வரும் உரையாடலைக் கவனத்திற்கொள்க.
முதலாவது நபர் : இந்த உயர்த்தில் குறைந்தபட்சம் இன்னும் இரண்டு பேர் செல்ல முடியும்.
இரண்டாவது நபர் : உண்மையில் இதில் ஐந்து பேருக்கு அதிகமானோர் செல்ல முடியும்.
மூன்றாவது நபர் : இல்லையில்லை, ஏற்கனவே இது அளவுக்கதிகமாக நிரம்பியுள்ளது; இது மேலே
செல்ல வேண்டுமெனின் நான் இதிலிருந்து இறங்க வேண்டியேற்படும்.
நான்காவது நபர் : சரி, இந்த உயர்த்தியில் நாங்கள் நான்கு பேர் மாத்திரம் தானே இருக்கின்றோம்.
உயர்த்தியினுள் இரண்டு பேர் மாத்திரமே உள்ளவர்களாகவும் நால்வருள் ஒருவரைவிட அதிக எண்ணிக்கையானோர் உண்மை பேசுவார்களாகவும் இருப்பின் இந்த உயர்த்தியின் கொள்ளளவு எத்தனை பேராக இருக்க முடியும்?
25, 26 ஆகிய வினாக்கள் கீழே தரப்பட்டுள்ள தகவல்களை அடிப்படையாகக்
கொண்டவை.அம்பகாமம், தம்பகாமம் என்பன ஓர் ஆற்றினால் வேறாக்கப்பட்டுள்ள இரண்டு உப நகரங்களாகும். இந்த இரண்டு உப நகரங்களையும் இணைக்கும் பாதை 4 km நீளமானது. அதன் நடுவே பாலம் ஒன்று உள்ளது. இப்பாதையில், பாலத்தின் மீது 20 km h —¹ எனவும் பாலம் தவிர்ந்த ஏனைய இடங்களில் 60 km h —¹ எனவும் கதி எல்லைகள் விதிக்கப்பட்டுள்ளன.
வாகனமொன்று, மொத்தப் பயணத்தையும் ஒரே சீரான கதியில் செல்ல எதிர்பார்க்குமாயின், அது அம்பகாமத்திலிருந்து தம்பகாமம் வரை செல்வதற்கு எடுக்கும் ஆகக் குறைந்த நேரம் எவ்வளவு?
25, 26 ஆகிய வினாக்கள் கீழே தரப்பட்டுள்ள தகவல்களை அடிப்படையாகக் கொண்டவை.
அம்பகாமம், தம்பகாமம் என்பன ஓர் ஆற்றினால் வேறாக்கப்பட்டுள்ள இரண்டு உப நகரங்களாகும். இந்த இரண்டு உப நகரங்களையும் இணைக்கும் பாதை 4 km நீளமானது. அதன் நடுவே பாலம் ஒன்று உள்ளது. இப்பாதையில், பாலத்தின் மீது 20 km h−¹ எனவும் பாலம் தவிர்ந்த ஏனைய இடங்களில் 60 km h−¹ எனவும் கதி எல்லைகள் விதிக்கப்பட்டுள்ளன.
இரண்டு வாகனங்கள் மு.ப. 9.00 மணிக்கு அம்பகாமத்தைக் கடந்து பின்பு தம்பகாமத்தை அடைகின்றன. மு.ப. 9.05 இற்கு தம்பகாமத்தை அடைந்த வாகனம் கதி எல்லையை மீறியமையால் பொலிசாரால் நிறுத்தப்பட்டது. மு.ப. 9.06 மணிக்கு தம்பகாமத்தை அடைந்த மற்றைய வாகனம் அவ்வாறு நிறுத்தப்படவில்லை. பாலத்தின் நீளம் பின்வருவனவற்றுள் எதுவாக இருக்க முடியும்?

மேற்படி அவதானிப்பு – முடிபுச் சோடி உண்மையானது என தரப்பட்டுள்ளதாயின், அப்போது பின்வரும் எந்த அவதானிப்பு -முடிபுச் சோடி கட்டாயமாக உண்மையாகும்?
28, 29, 30 ஆகிய வினாக்கள் கீழே தரப்பட்டுள்ள தகவலை அடிப்படையாகக் கொண்டவை.
கட்டளைகளின் பேரில் பசளை உற்பத்தி செய்யும் தொழிற்சாலையொன்றில் மூன்று பொறிகள் உள்ளன. எந்தவொரு பொறியிலும் எந்தவொரு வகைப் பசளையையும் உற்பத்தி செய்ய முடியுமெனினும்இ எந்தவொரு பொறியும் ஒரேநாளில் இரண்டு அல்லது இரண்டுக்கு மேற்பட்ட வகைப் பசளைகளை உற்பத்தி செய்வதற்காகப் பயன்படுத்துதலாகாது. ஒவ்வொரு பொறியினதும் கொள்ளளவு அதாவது ஒவ்வொரு பொறியினாலும் ஒரு மணி நேரத்தில் X, Y ஆகிய ஒவ்வொரு பசளையினதும் உற்பத்தி செய்யக்கூடிய அளவு தொன்னில் கீழே தரப்பட்டுள்ளன.

X வகைப் பசளை B பொறியினால் மாத்திரம் உற்பத்தி செய்யப்படுமாயின், X வகைப் பசளை 100 தொன், Y வகைப் பசளை 150 தொன் இற்கான கட்டளையைப் பூர்த்திசெய்வதற்கு எவ்வளவு நேரம் செல்லும்?
28, 29, 30 ஆகிய வினாக்கள் கீழே தரப்பட்டுள்ள தகவலை அடிப்படையாகக் கொண்டவை.
கட்டளைகளின் பேரில் பசளை உற்பத்தி செய்யும் தொழிற்சாலையொன்றில் மூன்று பொறிகள் உள்ளன. எந்தவொரு பொறியிலும் எந்தவொரு வகைப் பசளையையும் உற்பத்தி செய்ய முடியுமெனினும், எந்தவொரு பொறியும் ஒரேநாளில் இரண்டு அல்லது இரண்டுக்கு மேற்பட்ட வகைப் பசளைகளை உற்பத்தி செய்வதற்காகப் பயன்படுத்துதலாகாது. ஒவ்வொரு பொறியினதும் கொள்ளளவு அதாவது ஒவ்வொரு பொறியினாலும் ஒரு மணி நேரத்தில் X,Y ஆகிய ஒவ்வொரு பசளையினதும் உற்பத்தி செய்யக்கூடிய அளவு தொன்னில் கீழே தரப்பட்டுள்ளன.

Y வகைப் பசளை A பொறியினால் மாத்திரம் உற்பத்தி செய்யப்படுமாயின், X வகைப் பசளை 250 தொன், Y வகைப் பசளை 120 தொன் இற்கான கட்டளையைப் பூர்த்திசெய்வதற்கு எவ்வளவு நேரம் எடுக்கும்?
28, 29, 30 ஆகிய வினாக்கள் கீழே தரப்பட்டுள்ள தகவலை அடிப்படையாகக் கொண்டவை.
கட்டளைகளின் பேரில் பசளை உற்பத்தி செய்யும் தொழிற்சாலையொன்றில் மூன்று பொறிகள் உள்ளன. எந்தவொரு பொறியிலும் எந்தவொரு வகைப் பசளையையும் உற்பத்தி செய்ய முடியுமெனினும், எந்தவொரு பொறியும் ஒரேநாளில் இரண்டு அல்லது இரண்டுக்கு மேற்பட்ட வகைப் பசளைகளை உற்பத்தி செய்வதற்காகப் பயன்படுத்துதலாகாது. ஒவ்வொரு பொறியினதும் கொள்ளளவு அதாவது ஒவ்வொரு பொறியினாலும் ஒரு மணி நேரத்தில் X, Y ஆகிய ஒவ்வொரு பசளையினதும் உற்பத்தி செய்யக்கூடிய அளவு தொன்னில் கீழே தரப்பட்டுள்ளன.

பொறிகள் உச்ச வலுவுடன் பயன்படுத்தப்படுமாயின், X வகைப் பசளை 100 தொன், Y வகை பசளை 120 தொன் இற்கான கட்டளையைப் பூர்த்திசெய்வதற்குத் தேவையான அதிகுறைந்த நேரம் எவ்வளவு?
ஒருவருக்கொருவர் 3 km தூரத்தில் காட்டில் வழி தவறிய இரண்டு சுற்றுலாப்பயணிகள், ஒருவர் மற்றையவரது பெயரை உரத்துக் கூறியவாறு 1 km h–¹ கதியில் ஒருவரை ஒருவர் நெருங்குகின்றனர். ஒரு சுற்றுலாப் பயணியினால் 1km வீச்சில் உரத்துக் குரலெழுப்ப முடிவதோடு மற்றையவருக்கு 0.5 km வீச்சில் மாத்திரம் குரலெழுப்ப முடியும். எத்தனை நிமிடங்களின் பின்னர் ஒவ்வொருவரும் மற்றையவரது குரலைச் செவிமடுக்கலாம்?
32, 33, 34 ஆகிய வினாக்கள் கீழே தரப்பட்டுள்ள தகவலை அடிப்படையாகக் கொண்டவை.
குறித்தவொரு உளவுத்துறையினர் 1950 ஜனவரி 01 ஆந் திகதியிலிருந்து திகதிக் குறியீடாக்கம் செய்வதற்காக இரகசிய மொழியொன்றைத் தயாரித்தனர். அதற்கமைய 1987 பெப்ரவரி 12ஆந் திகதி என்பது 2789120 எனவும் 2001 ஜூலை 15 ஆந் திகதி 7100217 எனவும் குறியீட்டாக்கம் செய்யப்பட்டது.
8910217 எனக் குறியீட்டாக்கஞ்செய்யப்பட்ட திகதி எது?
32, 33, 34 ஆகிய வினாக்கள் கீழே தரப்பட்டுள்ள தகவலை அடிப்படையாகக் கொண்டவை.
குறித்தவொரு உளவுத்துறையினர் 1950 ஜனவரி 01 ஆந் திகதியிலிருந்து திகதிக் குறியீடாக்கம் செய்வதற்காக இரகசிய மொழியொன்றைத் தயாரித்தனர். அதற்கமைய 1987 பெப்ரவரி 12ஆந் திகதி என்பது 2789120 எனவும் 2001 ஜூலை 15 ஆந் திகதி 7100217 எனவும் குறியீட்டாக்கம் செய்யப்பட்டது.
பின்வருவனவற்றுள் குறியீட்டாக்கம் செய்யப்படாத ஒரு நாளாக அமைவது எது?
32, 33, 34 ஆகிய வினாக்கள் கீழே தரப்பட்டுள்ள தகவலை அடிப்படையாகக் கொண்டவை.
சிறிது காலத்தின் பின்னர் இக்குறியீட்டுமொழியில் பாரதூரமான ஒரு குறைபாடு இருப்பதாக உளவுத்துறையினரால் கண்டறியப்பட்டது. அதனைக் காட்டுவதற்குப் பயன்படுத்தக்கூடிய குறியீடு பின்வருவனவற்றுள் எது?
பின்வரும் கூற்றைக் கருதுக.
‘எந்தவொரு வகை மரவள்ளியையும் பயிரிடுவதற்கு மழைக் காலத்தில் உலர்வலயமோ (dry zone) பச்சை இல்லமோ மிகப் பொருத்தமானது ஆகும்.”
மேற்குறித்த கூற்றின் நம்பகத்தன்மையைப் பாரதூரமான வகையில் பின்வரும் அவதானிப்புகளுள் எது உண்மையாயின், தரப்பட்டுள்ள கூற்றுகளைப் பலவீனப்படுத்தும்?
36, 37, 38 ஆகிய வினாக்கள் பின்வரும் விவரங்களை அடிப்படையாகக் கொண்டவை.
A, B, C , D, E என்ற ஐந்து நபர்கள் ஒழுங்கான ஐங்கோணியொன்றின் உச்சிகளில் B இற்கு மேற்கே A யும் E இற்கு கிழக்கே C உம் ஆகுமாறு நிற்கின்றனர். ஐங்கோணியின் மீது X இலிருந்து Y இற்கான குறைந்த தூரம் dist (X,Y) இனால் தரப்படுவதாகக் கொள்க. (உதாரணமாக ஐங்கோணியில் அருகருகே அமையும் இரண்டு உச்சிகளின் மீது X , Y ஆகியன அமைந்திருக்குமாயின், அதன்போது dist (X,Y) =1 ஆகும்.
பின்வருவனவற்றுள் எது கண்டிப்பாக உண்மையாகும்?
36, 37, 38 ஆகிய வினாக்கள் பின்வரும் விவரங்களை அடிப்படையாகக் கொண்டவை.
A, B, C , D என்ற ஐந்து நபர்கள் ஒழுங்கான ஐங்கோணியொன்றின் உச்சிகளில் B இற்கு மேற்கே A யும் E இற்கு கிழக்கே C உம் ஆகுமாறு நிற்கின்றனர். ஐங்கோணியின் மீது X இலிருந்து Y இற்கான குறைந்த தூரம் dist (X,Y) இனால் தரப்படுவதாகக் கொள்க. (உதாரணமாக ஐங்கோணியில் அருகருகே அமையும் இரண்டு உச்சிகளின் மீது X , Y ஆகியன அமைந்திருக்குமாயின், அதன்போது dist (X,Y) =1 ஆகும்.
X , Y ஆகியோர் ஐங்கோணியின் மீது நிற்கும் இருவரெனின், பின்வருவனவற்றுள் எது அதிகூடிய dist (X , Y) ஆக இருக்கலாம்?
36, 37, 38 ஆகிய வினாக்கள் பின்வரும் விவரங்களை அடிப்படையாகக் கொண்டவை.
A, B, C , D என்ற ஐந்து நபர்கள் ஒழுங்கான ஐங்கோணியொன்றின் உச்சிகளில் B இற்கு மேற்கே A யும் E இற்கு கிழக்கே C உம் ஆகுமாறு நிற்கின்றனர். ஐங்கோணியின் மீது X இலிருந்து Y இற்கான குறைந்த தூரம் dist (X,Y) இனால் தரப்படுவதாகக் கொள்க. (உதாரணமாக ஐங்கோணியில் அருகருகே அமையும் இரண்டு உச்சிகளின் மீது X , Y ஆகியன அமைந்திருக்குமாயின், அதன்போது dist (X,Y) =1 ஆகும்.
பின்வருவனவற்றுள் எதனை முடிபு செய்ய முடியாது?
39, 40 ஆகிய வினாக்கள் பின்வருவனவற்றை அடிப்படையாகக் கொண்டவை. கம்பனியொன்றில் தொழிலுக்காக விண்ணப்பித்துள்ள விண்ணப்பதாரிகள் ஐந்து பேர் தொடர்பான தகவல்களின் பொழிப்பு கீழே அட்டவணையில் தரப்பட்டுள்ளது.

பிரதான பாடங்களில் குறைந்தபட்சம் இரண்டு B தரங்களும் பொதுச் சாதாரணப் பரீட்சையில் 75 புள்ளிகளுக்குக் கூடுதலாகவும் பொது ஆங்கிலத்தில் B அல்லது அதிலும் உயர்ந்த தரமும் பெற்றுள்ள விண்ணப்பதாரர்களுக்கு ஒரு குறித்த பதவியை நாடலாம். அதற்கான தகுதியைப் பூர்த்தி செய்துள்ள விண்ணப்பதாரர்கள் யாவர்?
39, 40 ஆகிய வினாக்கள் பின்வருவனவற்றை அடிப்படையாகக் கொண்டவை. கம்பனியொன்றில் தொழிலுக்காக விண்ணப்பித்துள்ள விண்ணப்பதாரிகள் ஐந்து பேர் தொடர்பான தகவல்களின் பொழிப்பு கீழே அட்டவணையில் தரப்பட்டுள்ளது.

மற்றுமொரு பதவிக்காக கம்பனி பொது ஆங்கிலத்தில் குறைந்தபட்சம் C தரமும் குறைந்தபட்சம் பிரதான பாடமொன்றில் A தரமும் பொதுச் சாதாரணப் பரீட்சையில் 75 இற்கு மேற்பட்ட புள்ளியையும் பெற்ற 22 வயதுக்கு மேற்பட்ட பெண் விண்ணப்பதாரியொருவரை எதிர்பார்க்கின்றது. அதற்கான தகுதியைப் பூர்த்தி செய்துள்ள விண்ணப்பதாரிகள் எத்தனை பேர்?
41, 42 ஆகிய வினாக்களில் முடிபொன்றும் I, II, III என இலக்கமிடப்பட்ட மூன்று கூற்றுகளைக் கொண்ட தகவல் தொகுதியொன்றும் தரப்பட்டுள்ளன.
• ஒரு கூற்றை மாத்திரம் பயன்படுத்தி முடிவெடுக்க முடியுமாயின் A ஐத் தெரிவு செய்க.
• கூற்று, I, கூற்று II ஆகியவற்றைப் பயன்படுத்தி முடிவெடுக்க முடியுமாயின் B ஐத் தெரிவு செய்க.
• கூற்று I, கூற்று III ஆகியவற்றைப் பயன்படுத்தி முடிவெடுக்க முடியுமாயின் C ஐத் தெரிவு செய்க.
• கூற்று II, கூற்று III ஆகியவற்றைப் பயன்படுத்தி முடிவெடுக்க முடியுமாயின் D ஐத் தெரிவு செய்க.
• I, II, III ஆகிய மூன்று கூற்றுகளையும் கூட்டாகப் பயன்படுத்தி முடிவெடுக்க முடியுமாயின் E ஐத் தெரிவு செய்க.
முடிபு : P நகரில் இருந்து Q நகரம் வரையிலான தூரத்தைக் கணிக்க முடியும்.
I. P நகரில் இருந்து Q நகரத்துக்கு ஊடாக R நகரம் வரையிலான தூரம் தரப்பட்டுள்ளது.
II. Q நகரில் இருந்து R நகரத்துக்கு ஊடாக P நகரம் வரையிலான தூரம் தரப்பட்டுள்ளது.
III. R நகரில் இருந்து P நகரத்துக்கு ஊடாக Q நகரம் வரையிலான தூரம் தரப்பட்டுள்ளது.
41, 42 ஆகிய வினாக்களில் முடிபொன்றும் I, II, III என இலக்கமிடப்பட்ட மூன்று கூற்றுகளைக் கொண்ட தகவல் தொகுதியொன்றும் தரப்பட்டுள்ளன.
• ஒரு கூற்றை மாத்திரம் பயன்படுத்தி முடிவெடுக்க முடியுமாயின் A ஐத் தெரிவு செய்க.
• கூற்று, I, கூற்று II ஆகியவற்றைப் பயன்படுத்தி முடிவெடுக்க முடியுமாயின் B ஐத் தெரிவு செய்க.
• கூற்று I, கூற்று III ஆகியவற்றைப் பயன்படுத்தி முடிவெடுக்க முடியுமாயின் C ஐத் தெரிவு செய்க.
• கூற்று II, கூற்று III ஆகியவற்றைப் பயன்படுத்தி முடிவெடுக்க முடியுமாயின் D ஐத் தெரிவு செய்க.
• I, II, III ஆகிய மூன்று கூற்றுகளையும் கூட்டாகப பயன்படுத்தி முடிவெடுக்க முடியுமாயின் E ஐத் தெரிவு செய்க.
முடிபு : உடற்பயிற்சி வேலைத்திட்டங்களில் பயிற்சி பெறுவோர் பயிற்சிகளில் ஈடுபடும்போது அவர்களது உடல் வெப்பநிலை அதிக அளவில் உயர்வதனைத் தடுப்பதற்காக முற்காப்பு உத்திகளைக் கையாளல் வேண்டும்.
I. உடல் வெப்பநிலை உயர்வடைதலானது நீரகற்றல் நிலைக்குக் காரணமாகலாம்.
II. ஒருவரது உடல் வெப்பநிலை 41ழஊ ஐத் தாண்டுமாயின் அவர் வெப்பத் தாக்குக்கு (heat stroke) ளவசழமந) ஆளாக இடமுண்டு.
III. வெப்பத்தாக்கு இதயத்தின் தொழிற்பாட்டை நலிவடையச் செய்வதோடு, மரணம் சம்பவிப்பதற்கும் காரணமாகலாம்.
ஒரு குடும்பத்தின் இராப்போசனத்தில் மீன், கோழி இறைச்சி ஆகிய இரண்டு வகைகளும் அடங்கியுள்ளன. குடும்பத்தின் சில உறுப்பினர்கள் மீன் மாத்திரம் உண்டதோடு, சிலர் கோழி இறைச்சி மாத்திரம் உண்டனர். குடும்பத்தில் சில உறுப்பினர்கள் காய்கறிகள் மாத்திரம் உண்பவர்களாவர். அவர்கள் மீனோ கோழி இறைச்சியோஉண்ணவில்லை. குடும்பத்தில் ஏனைய உறுப்பினர்கள் மீன், கோழியிறைச்சி ஆகிய இரண்டு வகைகளையும் உண்டனர். மேற்படி நிலைமையை பின்வரும் எவ்வரிப்படம் மிகவும் தர்க்க ரீதியாக விவரிக்கின்றது?
44, 45 ஆகிய வினாக்கள் பின்வரும் பத்திரிகை விளம்பரத்தை அடிப்படையாகக் கொண்டவை.

இந்த அறிவித்தலின் மூலம் நுகர்வோருக்கு வழங்கப்படும் முக்கிய தகவல் யாது?
44, 45 ஆகிய வினாக்கள் பின்வரும் பத்திரிகை விளம்பரத்தை அடிப்படையாகக் கொண்டவை.

குறித்த பிரதேசங்களில் மின்விநியோகத்தில் தடங்கல் ஏற்படுத்துவதற்கு காரணமாக அமையத்தக்கது
46, 47 ஆகிய வினாக்களில் 1, 7 ஆகிய வாக்கியங்களுக்கு இடையே உள்ள A, B, C, D, E ஆகிய வாக்கியங்கள் சரியான ஒழுங்குமுறைப்படி தரப்படவில்லை. ஏழு வாக்கியங்களையும் தர்க்கரீதியாக ஒழுங்குபடுத்தினால் அந்த வாக்கியங்களின் சரியான ஒழுங்கைத் தெரிவுசெய்க.
1 – உங்களது மின்னஞ்சலை வாசிக்கக் கிடைத்தமை குறித்துப் பெருமகிழ்ச்சியடைகிறேன்,
A – எப்படி உங்களது பரீட்சை? நன்றாகச் செய்தீர்களா?
B – பெறுபேறு கிடைத்த பின்பு தயவு செய்து எங்களைப் பார்க்க வாருங்கள்.
C – நீங்கள் ஒரு மாதமாக எனக்கு மின்னஞ்சல்கள் அனுப்பவில்லை.
D – நீங்கள் பரீட்சைக்காகப் படிக்கின்றமையை நான் அறிந்திருந்தேன்.
E – நீங்கள் பரீட்சையில் உயரிய சித்தி பெறுவீர்கள் என்பது எனது நம்பிக்கையாகும்.
7 – நீங்கள் எங்களைப் பார்க்க வரும்போது உங்களது கிற்றாரையும் தவறாது கொண்டு வாருங்கள்.
46, 47 ஆகிய வினாக்களில் 1இ 7 ஆகிய வாக்கியங்களுக்கு இடையே உள்ள A, B, C, D, E ஆகிய வாக்கியங்கள் சரியான ஒழுங்குமுறைப்படி தரப்படவில்லை. ஏழு வாக்கியங்களையும் தர்க்கரீதியாக ஒழுங்குபடுத்தினால் அந்த வாக்கியங்களின் சரியான ஒழுங்கைத் தெரிவுசெய்க.
1 – திருமதி. சீலா அவரது ஊரில் மட்பாண்டக் கைத்தொழிலொன்றை ஆரம்பித்தார்.
A – அவரின் கீழ் இப்பொழுது 10 பெண்கள் வேலை செய்கின்றார்கள்.
B – மேலதிக பெண்களை பணியில் அமர்த்துவதற்காக அவர் பல இடங்களில் அறிவித்தலொன்றைக் காட்சிப்படுத்தினார்.
C – உற்பத்திச் செயன்முறை இப்பொழுது இரண்டு சேவை மாற்றுக்களின் கீழ் நடைபெறுகின்றது.
D – அவர் தொடக்கத்தில் கிராமிய பொருளாதார அலுவல்கள் அமைச்சின் ஒத்துழைப்பைப் பெற்றார்.
E – துலங்கல்கள் மிக சாதகமானவையாக இருந்தன.
7 – திருமதி. சீலா முயற்சியுடைமைக்கு உண்மையான ஓர் எடுத்துக்காட்டாவார்.
கீழே விபரிக்கப்படும் நிகழ்வுகளைக் காட்டுவதற்கு ஆறு படங்கள் வரையப்பட்டுள்ளன.
ஆண் பிள்ளையொருவர் பேருந்து தரிப்பிடத்துக்கு விரைவாக வந்தபோதிலும் அவருக்கு இரண்டு பேருந்துகளிலும் ஏறிக்கொள்ள முடியாமை காரணமாக தனது பயணத்தை முச்சக்கரவண்டியொன்றில் பயணித்தல்.

கீழே காட்டப்பட்ட எந்த ஒழுங்குமுறைப்படி படங்கள் சரியான விதத்தில் ஒழுங்குப்படுத்தப்பட்டுள்ளன?
49, 50 ஆகிய வினாக்கள் பின்வரும் உரையாடல் பகுதியை அடிப்படையாகக் கொண்டவை.
இவ் உரையாடல் தனது மகனின் சான்றிதழ் பிரதியொன்றினைப் பெறுவதற்காக பரீட்சைத் திணைக்களத்துக்கு வந்த ஒரு பெண்ணிற்கும் விசாரணைக் கருமபீடத்தில் இருந்த வரவேற்பாளராகிய பெண் உத்தியோகத்தருக்கும் இடையே இடம்பெற்றது. பெண்மணியின் காலை வணக்கத்துடன் உரையாடல் ஆரம்பித்ததுடன் அவரது நன்றி தெரிவிப்புடன் அது முடிவடைந்தது. உரையாடலின் ஏனைய பகுதிகள் ஒன்றுடனொன்று கலந்திருப்பதுடன் A, B, C, D, E, F, G, H, I, J, K ஆகிய எழுத்துக்களால் காட்டப்பட்டுள்ளன.
♦ – காலை வணக்கம் மிஸ்!
A – சான்றிதழை இலங்கையிலா அல்லது வெளிநாட்டிலா பயன்படுத்த எதிர்பார்க்கின்றீர்கள்?
B – ஆம், வெளிநாடொன்றில் எனது மகன் வெளிநாட்டுப் பல்கலைக்கழகமொன்றில் பட்டப்படிப்பு பாடநெறியொன்றுக்காக விண்ணப்பிக்க எதிர்பார்க்கிறார். எனவே அது ஆங்கிலமொழியில் தேவைப்படுகின்றது.
C – ஆம், என்னிடம் இருக்கிறது. ஆனால் நான் வெளிநாட்டலுவல்கள் அமைச்சின் மூலம் அதனை எப்படி உறுதி செய்துகொள்வது?
D – எமது திணைக்களம் சான்றிதழை நாளை காலையில் வெளிநாட்டு அலுவல்கள் அமைச்சுக்கு அனுப்பும். உங்களுக்கு அதனை நாளை பகல் 12.00 மணிக்குப் பின்னர் வெளிநாட்டு அலுவல்கள் அமைச்சின் கொன்சியுலர் பிரிவினால் உறுதிப்படுத்திப் பெற்றுக் கொள்ளலாம்.
E – சான்றிதழ் ஆங்கில மொழியில் உள்ளது. அதனை வெளிநாட்டு அலுவல்கள் அமைச்சில் உறுதி செய்து கொள்ளல் வேண்டும்.
F – நான் அதனை எவ்வாறு செய்துகொள்வது?
G – அது உங்களுடையதா?
H – இல்லை, அது எனது மகனுடையது.
I – வணக்கம் அம்மா. என்னிடம் என்ன உதவியை எதிர்பார்க்கின்றீர்கள்?
J – ஆமாம். உயர்தர சான்றிதழ் ஒன்றை எவ்வாறு பெற்றுக்கொள்வது என எனக்குத் தெளிவாக சொல்வீர்களா?
K – இதோ விண்ணப்பப் பத்திரம். இதனை சரியாகப் பூரணப்படுத்தி இந்த கட்டடத்தின் தரைத்தளத்தில் உள்ள இல. 01 கருமபீடத்தில் ஒப்படையுங்கள். அங்கு இருக்கும் உத்தியோகத்தர் உங்களுக்கு உதவி செய்வார். உங்களிடம் பரீட்சை ஆண்டு, சுட்டிலக்கம் போன்ற தேவையான தகவல்கள் உள்ளனவா?
♦ – நல்லது. மிஸ், நீங்கள் முழு வேலையையும் நன்றாக விளக்கினீர்கள். மிக்க நன்றி.
இப்பெண்மணியினால் அவரது வாழ்த்து தெரிவிப்பு, நன்றி தெரிவிப்பு ஆகியவற்றுக்கு மேலாக மேற்கொள்ளப் பட்ட உரையாடற் பகுதிகள் யாவை?
49, 50 ஆகிய வினாக்கள் பின்வரும் உரையாடல் பகுதியை அடிப்படையாகக் கொண்டவை.
இவ் உரையாடல் தனது மகனின் சான்றிதழ் பிரதியொன்றினைப் பெறுவதற்காக பரீட்சைத் திணைக்களத்துக்கு வந்த ஒரு பெண்ணிற்கும் விசாரணைக் கருமபீடத்தில் இருந்த வரவேற்பாளராகிய பெண் உத்தியோகத்தருக்கும் இடையே இடம்பெற்றது. பெண்மணியின் காலை வணக்கத்துடன் உரையாடல் ஆரம்பித்ததுடன் அவரது நன்றி தெரிவிப்புடன் அது முடிவடைந்தது. உரையாடலின் ஏனைய பகுதிகள் ஒன்றுடனொன்று கலந்திருப்பதுடன் A, B, C, D, E, F, G, H, I, J, K ஆகிய எழுத்துக்களால் காட்டப்பட்டுள்ளன.
♦ – காலை வணக்கம் மிஸ்!
A – சான்றிதழை இலங்கையிலா அல்லது வெளிநாட்டிலா பயன்படுத்த எதிர்பார்க்கின்றீர்கள்?
B – ஆம், வெளிநாடொன்றில் எனது மகன் வெளிநாட்டுப் பல்கலைக்கழகமொன்றில் பட்டப்படிப்பு பாடநெறியொன்றுக்காக விண்ணப்பிக்க எதிர்பார்க்கிறார். எனவே அது ஆங்கிலமொழியில் தேவைப்படுகின்றது.
C – ஆம், என்னிடம் இருக்கிறது. ஆனால் நான் வெளிநாட்டலுவல்கள் அமைச்சின் மூலம் அதனை எப்படி உறுதி செய்துகொள்வது?
D – எமது திணைக்களம் சான்றிதழை நாளை காலையில் வெளிநாட்டு அலுவல்கள் அமைச்சுக்கு அனுப்பும். உங்களுக்கு அதனை நாளை பகல் 12.00 மணிக்குப் பின்னர் வெளிநாட்டு அலுவல்கள் அமைச்சின் கொன்சியுலர் பிரிவினால் உறுதிப்படுத்திப் பெற்றுக் கொள்ளலாம்.
E – சான்றிதழ் ஆங்கில மொழியில் உள்ளது. அதனை வெளிநாட்டு அலுவல்கள் அமைச்சில் உறுதி செய்து கொள்ளல் வேண்டும்.
F – நான் அதனை எவ்வாறு செய்துகொள்வது?
G – அது உங்களுடையதா?
H – இல்லை, அது எனது மகனுடையது.
I – வணக்கம் அம்மா. என்னிடம் என்ன உதவியை எதிர்பார்க்கின்றீர்கள்?
J – ஆமாம். உயர்தர சான்றிதழ் ஒன்றை எவ்வாறு பெற்றுக்கொள்வது என எனக்குத் தெளிவாக சொல்வீர்களா?
K – இதோ விண்ணப்பப் பத்திரம். இதனை சரியாகப் பூரணப்படுத்தி இந்த கட்டடத்தின் தரைத்தளத்தில் உள்ள இல. 01 கருமபீடத்தில் ஒப்படையுங்கள். அங்கு இருக்கும் உத்தியோகத்தர் உங்களுக்கு உதவி செய்வார். உங்களிடம் பரீட்சை ஆண்டு, சுட்டிலக்கம் போன்ற தேவையான தகவல்கள் உள்ளனவா?
♦ – நல்லது. மிஸ், நீங்கள் முழு வேலையையும் நன்றாக விளக்கினீர்கள். மிக்க நன்றி.
மேற்படி உரையாடலின் மிகத் தர்க்கரீதியான ஒழுங்குமுறை பின்வருவனவற்றில் எது?
