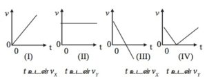
உருவில் அம்புக்குறியினால் காட்டப்படும் திசையில் கல் ஒன்று கிடையுடன் ஒரு குறித்த கோணத்தில் எறியப்படுகின்றது. வளித் தடை புறக்கணிக்கப்பட்டால்,பின்வரும் வேக (v) – நேரம் (t) வரைபுகளில் எவை t உடன் vx இனதும் t உடன் vyஇனதும் மாறல்களை மிகச் சிறந்த முறையில் வகைகுறிக்கின்றன.
